クロマトグラフィー
COSMOSIL Application Note
梅肉エキスに含まれるムメフラールの分析
本ページを PDF でご覧になりたい方はこちら<TN-21>
血流改善機能があるとされているムメフラール(MF)は加熱したウメ果肉に含まれる成分で1)、夾雑物を固相抽出で取り除くことで HPLC-UV による分析が可能です2)。このたび、 文献2)の方法に基づいて梅肉エキスから MF を抽出し、LC-UV および LC-MS 分析しましたので、紹介します。
はじめに
● 注目成分ムメフラールについて
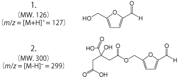
MF は、5-ヒドロキシメチル-2-フルフラール(HMF)とクエン酸とがエステル結合した化合物で、梅肉エキスに含まれています。梅肉エキスは、青梅の搾り汁をペースト状になるまで加熱濃縮したもので、江戸時代から殺菌・整腸作用をもつ民間薬として使用されています。1 kg の青梅から 20 g 程度しか得ることができないと言われています。

梅肉エキス抽出液と梅干し抽出液の HPLC-UV による比較

| Conditions | |||
|---|---|---|---|
| Column | COSMOSIL 2.5C18-MS-Ⅱ 2.0 mm I.D. × 50 mm | Sample | 梅肉エキスおよび梅干し抽出液
![]() |
| Mobile phase | A : 0.1%-ぎ酸(アセトニトリル / 水 = 2 / 98) B : 0.1%-ぎ酸(アセトニトリル 100) B conc. 0% → 8%(0 分 → 10 分)、8% → 100%(10 分 → 10.1 分)、100%(10.1 分 → 13 分)、100% → 0%(13 分 → 13.5 分)、0%(13.5 分 → 21 分) |
||
| Flow rate | 0.2 mL/min | ||
| Temperature | 40℃ | ||
| Detection | UV 280 nm | Inj. vol. | 2 μL |
梅肉エキス抽出液では HMF、MF を検出し、両物質が含まれていることが分かりました。一方、梅干し抽出液は HMF、MF ともに検出できませんでした。梅干し抽出液は、ウメ果実を加熱せずに作られているため、HMF および MF は含まれていないと考えられます。
梅肉エキス抽出液の HPLC-MS による成分分析

| Conditions | |||
|---|---|---|---|
| Column | COSMOSIL 2.5C18-MS-Ⅱ 2.0 mm I.D. × 50 mm | Sample | 梅肉エキス抽出液
![]() |
| Mobile phase | A : 0.1%-ぎ酸(アセトニトリル / 水 = 2 / 98) B : 0.1%-ぎ酸(アセトニトリル 100) B conc. 0% → 8%(0 分 → 10 分)、8% → 100%(10 分 → 10.1 分)、100%(10.1 分 → 13 分)、100% → 0%(13 分 → 13.5 分)、0%(13.5 分 → 21 分) |
||
| Flow rate | 0.2 mL/min | ||
| Temperature | 40℃ | ||
| Detection | MS[ESI probe, TIC(+) or (-), MW. 50 ~ 500], UV 280 nm | Inj. vol. | 2 μL |
サンプル調製
(1)梅肉サンプルの調製
- 梅肉エキス
市販梅肉エキスをビンの中でよくかき混ぜたものをサンプルとする。 - 梅干し
梅干し 1 個の果肉をこそげ取り、ミクロスパーテルとピンセットでよくつぶしてかき混ぜ、均一にしたものをサンプルとする。
(2)溶解
- サンプル 150 mg を 15 mL-遠心チューブに量り取る。
- Milli-Q® 水 5 mL を加え、ボルテックスしてサンプルを均一に分散させる。
- 6,000 × g、室温で 10 分遠心する。
(3)固相抽出
- Oasis® HLB Plus Cartridge にアセトニトリル 5 mL を添加してカートリッジを洗浄する。
- 1. にMilli-Q® 水 5 mL を添加してコンディショニングする。
- 2. に(2)3. の上清すべてを添加し、ゆっくりプランジャーを押して吸着させる。
- 3. にMilli-Q® 水 5 mLを流して洗浄し、最後の1滴まで出し切る。
- 4. に、アセトニトリル / 水 = 20 / 80 5 mL を添加して溶出させる。
- 回収した溶出液をサンプルとする。
Milli-Q は Merck KGaA の登録商標です。
Oasis はウォーターズ テクノロジーズ コーポレーションの登録商標です。
参考文献
1)Chuda Y, et al. J Agric Food Chem. 1999;47(3):828-831.
2)箭田浩士ら. 日本食品科学工学会誌. 2003, 50(4), 188-192.
価格表
分析に用いた製品
関連製品
※掲載内容は予告なく変更になる場合があります。


