クロマトグラフィー
COSMOSIL Application Note
野菜に含まれるフラボノイド配糖体の分析
本ページを PDF でご覧になりたい方はこちら<TN-22-2>
野菜に含まれるフラボノイドを抽出し、C18 カラムで UV 検出器および MS 検出器を用いて分析しましたので紹介します。
はじめに
● 注目成分フラボノイドについて
フラボノイドはポリフェノールの一種で、フラボノイド分子に含まれるフェノール性 OH 基による抗酸化作用があり、生活習慣病が防げるなどと言われています1)。茶カテキン、タマネギのケルセチン2)や大豆イソフラボン、柑橘類のヘスペリジン3)が有名ですが、ソバに含まれるルチン、そのほかマメ科植物、ホウレンソウ4、5)、パセリ6)などセリ科の野菜、またアブラナ科の野菜にも含まれています。茶カテキンなどの一部を除き、野菜フラボノイドはほとんど配糖体として存在しているといわれています。
野菜フラボノイドの HPLC-UV 分析
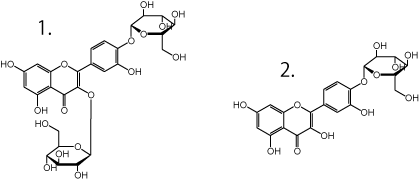
● タマネギ 鱗茎

| サンプル | : | タマネギ鱗茎抽出液 |
| ピーク | : |
|

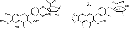
● ホウレンソウ 葉

| サンプル | : | ホウレンソウ葉抽出液 |
| ピーク | : |
|

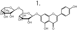
● パセリ 葉

| サンプル | : | パセリ葉抽出液 |
| ピーク | : |
|

| Conditions | |||
|---|---|---|---|
| Column | COSMOSIL 2.5C18-MS-Ⅱ 2.0 mm I.D. × 150 mm | Flow rate | 0.2 mL/min |
| Mobile phase | A : 0.1%- ぎ酸(メタノール / 水 = 10 / 90) B : 0.1%- ぎ酸(メタノール / 水 = 90 / 10) B conc. 30% → 60%(0 分 → 25 分)、60%(25 分 → 30 分)、60% → 30%(30 分 → 30.1 分)、30%(30.1 分 → 35 分) |
Temperature | 40℃ |
| Detection | UV 350 nm | ||
| Inj. vol. | 5 μL | ||
LC-MS 分析と文献値2、4、5、6)より、各ピークの成分を推定しました。
抽出方法
(1)野菜サンプルの細切
- タマネギ 鱗茎
タマネギの茶色い皮をむき、白い可食部(鱗茎)を包丁で細かく刻む。 - ホウレンソウ 葉
ホウレンソウの葉を包丁で細かく刻む。 - パセリ 葉
パセリの葉を茎からちぎり、包丁で細かく刻む。
(2)フラボノイドの抽出
- 細切サンプルをよく混合し、10 g を量り取る。
- 抽出溶媒(メタノール / 水 = 80 / 20)80 mL を加えて振り混ぜる。
- ときどき振り混ぜたりガラス棒で突き混ぜたりしながら、密栓して室温で一晩放置する。
- Whatman グレード 2 ろ紙でろ過し、ろ液を取り分ける。
- ろ過残渣に抽出溶媒を加え、洗浄する。
- Whatman グレード 2 ろ紙でろ過し、ろ液を 4 のろ液と混合する。
- 6 の液に抽出溶媒を加えて全量を 100 mL にする。
- 一部をコスモナイスフィルター(W)でろ過し、ろ液を HPLC サンプルとする。
Whatman は、Whatman International Ltd. の登録商標です。
標準品の HPLC-MS 分析


| Conditions | |||
|---|---|---|---|
| Column | COSMOSIL 2.5C18-MS-Ⅱ 2.0 mm I.D. × 150 mm | Sample |
|
| Mobile phase | A : 0.1%- ぎ酸(メタノール / 水 = 10 / 90) B : 0.1%- ぎ酸(メタノール / 水 = 90 / 10) B conc. 30% → 60%(0 分 → 25 分)、60%(25 分→ 30 分)、60% → 30%(30 分 → 30.1 分)、30%(30.1 分 → 35 分) |
||
| Flow rate | 0.2 mL/min | ||
| Temperature | 40℃ | ||
| Detection | MS(ESI probe、MIC(-)、各分子量) | Inj. vol. | 0.25 μL each |
参考文献
- 1)井上順, 佐藤隆一郎. 化学と生物. 2016, 54(6), 416-420.
- 2)岡本大作ほか. 園芸学会雑誌. 2006, 75(1), 100-108.
- 3)野方洋一. 近中四農研報. 2005, 5, 19-84.
- 4)Watanabe M, Ayugase J. J Sci Food Agr. 2015;95(10):2095-2104.
- 5)渡辺満, 鮎瀬淳. 日本食品化学工学会誌. 2015, 62(10), 501-507.
- 6)Plazonic A, et al. Molecules. 2009;14(7):2466-2490.
価格表
分析に用いた製品
COSMOSIL / コスモシール、COSMONICE、コスモナイスはナカライテスク株式会社の登録商標です。
関連製品
※掲載内容は予告なく変更になる場合があります。
