クロマトグラフィー
アルツハイマー病のバイオマーカーとして期待されている血清中の D/L-Ser と D/L-Pro の定量分析
本ページを PDF でご覧になりたい方はこちら<TN-37>
アルツハイマー病のバイオマーカーとして期待されている血清中の D/L-セリン(Ser)と D/L-プロリン(Pro)を DL-アミノ酸ラベル化キットでラベル化することで、コスモコア® 2.6 C18 カラムを用いて、シングル四重極型液体クロマトグラフィー質量分析計(LC-MS)により分離・定量することができましたので、紹介します。本研究成果は、Journal of Pharmaceutical and Biomedical Analysis Open. 2026;7:100099.1) に掲載されています。本研究は大陽日酸株式会社 池田 明夏里 氏、株式会社栄養・病理学研究所 川瀬 貴博 氏、県立広島大学 辻 愛 准教授、京都大学大学院 農学研究科 友永 省三 助教、京都大学大学院 薬学研究科 掛谷 秀昭 教授らとの共同研究成果です。
D/L-アミノ酸分析の重要性と実験の概要
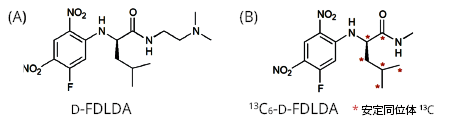
D-Ser は NMDA 型グルタミン酸受容体の主要なコ・アゴニストとして、中枢神経系における興奮性神経伝達やシナプス可塑性、学習・記憶といった脳の機能制御において重要な役割を果たしています。またアルツハイマー病(AD)や統合失調症、うつ病などの神経精神疾患の病態への関与が示唆されており、同疾患診断のためのバイオマーカー候補として注目されています。近年、D-Ser に加え D-Pro も同疾患におけるバイオマーカー候補として関心を集めていることから、血清中の D/L-Ser と D/L-Pro を LC-MS により、DL-アミノ 酸ラベル化キット(ラベル化剤 : D-FDLDA、図 1 A)と安定同位体標識ラベル化剤 13C6-D-FDLDA(図 1 B)を用いて、汎用される C18 カラムで定量する手法を確立しました。また弊社はこれまでに、DL-アミノ酸ラベル化キットを用いて、スレオニン(Thr)の立体異性体(D/L-Thr と D/L-allo-Thr)を含めた 20 種類のアミノ酸を汎用的な C18 カラムで分離することに成功しています2)(図 1 C)。

★ 本ラベル化剤の特長
- キラルカラムを使わずにアミノ酸の光学異性体を分離
- MS(質量分析計)での高感度検出
- ラベル化したアミノ酸の安定性が高い

| LC conditions | |
|---|---|
| Column | COSMOCORE 2.6C18 2.1 mm I.D. × 100 mm |
| Mobile phase |
A : 0.1% Formic Acid - Acetonitrile / H2O = 10 / 90 B : 0.1% Formic Acid - Acetonitrile / H2O = 50 / 50 |
| Gradient | B conc. 0 → 10 → 60 → 100% (0 → 5 → 30 → 35 min) |
| Flow rate | 0.4 mL/min |
| Temperature | 40℃ |
| MS conditions | |
|---|---|
| Ionization | ESI / APCI (positive mode) |
| Mode | SIM |
| Nebulizing gas flow | 2.0 L/min |
| Drying gas flow | 5.0 L/min |
| Heating gas flow | 7.0 L/min |
| DL temperature | 200℃ |
| Desolvation temperature | 450℃ |
| Interface voltage | 3.0 kV |
図 1.(A)ラベル化剤 D-FDLDA の構造、(B)安定同位体標識ラベル化剤 13C6-D-FDLDA の構造、(C)DL-アミノ酸ラベル化キットでラベル化した
D/L-アミノ酸を C18 カラムを用いて分析した際の LC-MS クロマトグラム
血清の前処理
血清中には多量のタンパク質や脂質などの成分が含まれています。タンパク質や脂質はカラムに吸着しやすいため、分析する際には、前処理によりこれらの夾雑物を除去する必要があります。

※市販の安定同位体標識 D/L-Ser と D/L-Pro を内標準(IS)として使用する場合は、操作 ➁ で各 IS を添加してください。
この場合、「DL-アミノ酸ラベル化キットを用いた D/L-アミノ酸のラベル化」の操作 ➅ は不要です。
メタノールとクロロホルムを用いた液 - 液抽出により、血清中の夾雑成分を除去しました。
DL-アミノ酸ラベル化キットを用いた D/L-アミノ酸のラベル化
前処理後のサンプル溶液にキットに同梱されている溶液を添加して加熱するだけで、ラベル化反応が進行します。(関連動画を参考にしてください。)

※➀ は中性でないとラベル化反応が進行しません。
※➅ はサンプルとは別のバイアルで 100 μmol/L の D/L-Ser と D/L-Pro を 1 mmol/L の 13C6-D-FDLDA でラベル化したものです。
※➀ ~ ➄ は各 100 μL、➅ は 50 μL 添加しています。
※➃ を添加した際に色の変化(黄色 → 濃橙色)が無い場合は、サンプルの濃度が高く、未ラベル化状態のものが存在している可能性があるため、
サンプルを希釈してラベル化することを推奨します。
血清中の D/L-Ser と D/L-Pro の分析法バリデーション
ヒトおよびマウス血清を用いて、D/L-Ser と D/L-Pro の添加回収試験を行いました。スパイクする D/L-Ser と D/L-Pro は、「血清の前処理」における ➁ 超純水を D/L-Ser と D/L-Pro の標準液に変更しています。
表 1. 各 D/L-アミノ酸の検量線範囲と R2、定量下限値(LOQ)、添加回収率(N = 5)

※検量線サンプルは血清サンプルと同様の方法で前処理しています。 ※添加回収試験は 1 μmol/L の D-Ser と D-Pro、100 μmol/L の L-Ser と L-Pro を各血清にスパイクし、実施しています。
DL-アミノ酸ラベル化キットでラベル化した D/L-Ser と D/L-Pro のピーク面積値を内標準(IS)のピーク面積値(13C6-D-FDLDA でラベル化した D/L-Ser と D/L-Pro)で補正したところ、直線的な検量線(R2 > 0.99)を作成することができました(表 1)。また、ヒト健常者血清とマウス血清を用いて、添加回収試験を行ったところ、D/L-Ser と D/L-Pro の回収率は 104.0% ~ 114.0% と一般的に許容される 80% ~ 120% の範囲内でした(表 1)。
ヒト健常者および AD 患者血清中の D/L-Ser と D/L-Pro の分析結果
ヒト健常者および AD 患者血清をメタノールとクロロホルムを用いた液 - 液抽出で前処理した後、DL-アミノ酸ラベル化キットでラベル化し、LC-MS で分析しました。

| LC conditions | |
|---|---|
| Column | COSMOCORE 2.6C182.1 mm I.D. × 100 mm |
Mobile phase
|
A : 0.1% Formic Acid - |
Acetonitrile / H2O = 10 / 90 B : 0.1% Formic Acid - Acetonitrile / H2O = 50 / 50 |
| Gradient | B conc. 0 → 10 → 60 → 100% (0 → 5 → 30 → 35 min) |
| Flow rate | 0.4 mL/min |
| Temperature | 40ºC |
| Inj. vol. | 15 μL |
| MS conditions | |
|---|---|
| Ionization | ESI / APCI (positive mode) |
| Mode | SIM |
| Nebulizing gas flow | 2.0 L/min |
| Drying gas flow | 5.0 L/min |
| Heating gas flow | 7.0 L/min |
| DL temperature | 200℃ |
| Desolvation temperature | 450℃ |
| Interface voltage | 3.0 kV |
| Detection conditions | |
|---|---|
| DL-アミノ酸ラベル化キット(D-FDLDA) | |
| D/L-Ser | m/z 471.5 |
| D/L-Pro | m/z 481.5 |
| 安定同位体標識ラベル化剤 13C6-D-FDLDA(IS) | |
| D/L-Ser | m/z 477.5 |
| D/L-Pro | m/z 487.5 |
図 2.(A)ヒト健常者および AD 患者血清中の D/L-Ser と D/L-Pro の LC-MS クロマトグラム、(B)(A)のクロマトグラムを拡大した D-Ser と D-Pro の LC-MS クロマトグラム
ヒト健常者および AD 患者血清中の D/L-Ser と D/L-Pro を良好に分離することができました(図 2 A)。また、どちらのサンプルにおいても、D-Ser と D-Pro のピークを夾雑成分と分離し、感度よく検出することができました(図 2 B)。
ヒト健常者および AD 患者血清中の D/L-Ser と D/L-Pro の定量値
LC-MS 分析により得られた各 D/L-アミノ酸のピーク面積値を IS のピーク面積値で補正し、検量線からヒト健常者および AD 患者血清中の D/L-Ser と D/L-Pro の濃度を算出しました。
表 2. ヒト健常者および AD 患者血清中の D/L-Ser と D/L-Pro の濃度(N = 4)と日内再現精度(N = 4)


図 3. ヒト健常者と AD 患者血清中の Ser と Pro の %D *p < 0.05 ; ***p < 0.001
ヒト健常者および AD 患者血清中の D/L-Ser と D/L-Pro は日内・日間再現精度ともに RSD(相対標準偏差)< 10%で精度良く定量することができました(表 2 の RSD は日内再現精度)。ヒト健常者と AD 患者血清における、Ser と Pro の %D(D-アミノ酸の濃度 / D/L-アミノ酸の濃度)を比較したところ、AD 患者で Ser と Pro の %D が有意に高いことが示されました(図 3)。今後、本分析条件を利用した関連疾患の診断法等の実用化が期待されます。
ラベル化したサンプルの長期安定性
ラベル化した直後のサンプルを分析した後、4ºC で冷蔵保存し、3 ~ 28 日後に分析して得られたピーク面積値を基にサンプルの安定性を評価しました。

図 4. ラベル化した D/L-Ser と D/L-Pro の 3 日 ~ 28 日後の安定性
ラベル化してから 28 日経過後でもピーク面積値の減少は確認されなかったことから、ラベル化したサンプルは冷蔵(4℃)で長期間保存可能であることが示されました(図 4)。
参考文献
- 血清中の D/L-Ser と D/L-Pro の定量分析
1) Ozaki M, et al. J Pharm Biomed Anal Open. 2026;7:100099. DOI : https://doi.org/10.1016/j.jpbao.2025.100099 - 発酵食品・発酵飲料中の D/L-アミノ酸の定量分析
2) Ozaki M, et al. J Chromatogr B. 2024;1244:124239. DOI : https://doi.org/10.1016/j.jchromb.2024.124239 - アミロイドβ中のアスパラギン酸残基のラセミ化・異性化の同定
Ozaki M, et al. Analyst. 2023;148:1209-1213. DOI : https://doi.org/10.1039/D2AN01885C
* Selected as HOT Article 2023 and featured on front cover - ペプチド中のエピメリ化したアミノ酸の同定
Ozaki M, et al. Anal Bioanal Chem. 2022;414:4039-4046. DOI : https://doi.org/10.1007/s00216-022-04048-w
関連動画
DL-アミノ酸ラベル化キットを用いた D/L-アミノ酸のラベル化方法を動画で公開していますので、ご参照ください。
DL-アミノ酸ラベル化キットを用いたアミノ酸のラベル化
価格表
本研究で使用した製品
関連製品
COSMOCORE / コスモコアはナカライテスク株式会社の登録商標です。
※掲載内容は予告なく変更になる場合があります。
※掲載の製品は各社の商標または登録商標の場合があります。
